Influenza Bulletin
NATIONAL WEEKLY INFLUENZA BULLETIN OF THE RUSSIAN FEDERATION
week 10 of 2026 (02.03.26 - 08.03.26)
Summary
Influenza and ARI incidence data. Influenza and other ARI activity in Russia at the same level in comparison with previous week. The nationwide ILI and ARI morbidity level (61.0 per 10 000 of population) was lower than national baseline (82.9) by 26.4%.
Etiology of ILI & ARI. Among 8752 patients investigation 210 (2.4%) respiratory samples were positive for influenza, including 62 cases of unsubtyped influenza A in 4 cities, 37 cases of influenza A(H1N1)pdm09 in 15 cities, 94 cases of influenza A(H3N2) in 26 cities and 17 cases of influenza B in 8 cities.
15 influenza viruses were isolated on MDCK cell culture, including: 3 influenza A(H1N1)pdm09 viruses in Saint-Petersburg and 10 cases of influenza A(H3N2) viruses in Vladivostok (6), Omsk (1), Saint-Petersburg (3) and 2 influenza B viruses in in Vladivostok (1), Saint-Petersburg (1). Since the beginning of the season 911 influenza viruses, including: 32 A(H1N1)pdm09 viruses, 874 A(H3N2) viruses and 5 influenza B viruses.
Antigenic characterization. Since the beginning of the season 2025-2026 422 influenza have been antigenically characterized by the NICs in Saint-Petersburg and Moscow, including: 17 influenza A(H1N1)pdm09 viruses and 405 influenza A(H3N2) viruses. One virus A(H1N1)pdm09 was similar to the reference strain A/Victoria/4897/22 recommended in the vaccines for the Northern Hemisphere countries for the 2025-2026 season, 16 A(H1N1)pdm09 viruses were a drift variant. 6 influenza A(H3N2) viruses were similar to the reference strain A/Croatia/10136RV/23, also recommended in vaccines for countries in the Northern Hemisphere for the 2025-2026 season, 387 A(H3N2) viruses were a drift variant, 11 viruses A(H3N2) were similar to the reference strain A/Thailand/8/2022, 1 strain was a drift variant of the reference strain A/Thailand/8/2022.
Genetic characterization. Since the beginning of the season 2025-2026 sequenced 1713 influenza viruses in Saint-Petersburg. 1684 influenza A(H3N2) viruses were similar to the vaccine strain A/Croatia/10136RV/2023, of which 1630 viruses belong to clade 3C.2a1b.2a.2a.3a.1 subclade K, 56 viruses belong to clade 3C.2a1b.2a.2a.3a.1. 27 A(H1N1)pdm09 viruses were similar to the vaccine strain A/Victoria/4897/2022 and were classified as clade 6B.1A.5a.2a.1, one strain was related to the reference strain A/Sydney/5/2021 and assigned to clade 6B.1A.5a.2a. 1 strain B virus was similar to the vaccine strain B/Austria/1359417/2021 and was classified as clade V1A.3a.2.Susceptibility to antivirals. Since the beginning of the season 2025-2026, the sensitivity of 366 A(H3N2) influenza viruses to neuraminidase inhibitors (oseltamivir, zanamivir) were studied in NIC (Saint-Petersburg). All studied viruses were sensitive to neuraminidase inhibitors.
ARVI detections. The overall proportion of respiratory samples tested positive for other ARVI (PIV, ADV, RSV, RhV, CoV, MPV, BoV) was estimated in total as 24.6% (PCR).
In sentinel surveillance system clinical samples from 16 SARI patient were investigated by rRT-PCR for influenza, among them no positive cases were recognized. Among 14 SARI samples no positive cases for coronavirus SARS-CoV-2 were recognized. Among 14 SARI samples 1 (7.1%) case positive for RSV infection.
Clinical samples from 14 ILI/ARI patient were investigated by rRT-PCR for influenza, among them no positive cases were recognized. Among 14 ILI/ARI samples 7 (50.0%) cases positive for ARVI were detected, including: 5 cases of RSV and 2 cases of RhV infection. Among 14 ILI/ARI samples no positive cases for coronavirus SARS-CoV-2 were recognized.COVID-19. According to the data obtained by NIC in Saint-Petersburg totally 11406 clinical samples were PCR investigated in last week. Among them coronavirus SARS-CoV-2 was detected in 185 (1.6%) cases.
Influenza and ARI morbidity data
Weeks
-
Morbidity 2025/26
-
Morbidity 2024/25
-
MEM baseline 2025/26
Epidemiological data remained at the same level of influenza and other ARI activity in Russia in comparison with previous week. The nationwide ILI and ARI morbidity level (61.0 per 10 000 of population) was lower than national baseline (82.9) by 26.4%.
Weeks
-
Season 2025/26
-
Season 2024/25
-
MEM baseline
Incidence rate of clinically diagnosed influenza has not changed comparing to previous week and amounted to 0.31 per 10 000 of population, it was lower than pre-epidemic MEM baseline (0.45).
Weeks
-
Season 2025/26
-
Season 2024/25
-
MEM baseline
Hospitalization rate of clinically diagnosed influenza decreased comparing to previous week and amounted to 0.096 per 10 000 of population, it was lower than pre-epidemic MEM baseline (0.099).
Influenza and ARVI laboratory testing results
Cumulative results of influenza laboratory diagnosis by rRT-PCR were submitted by 45 RBLs and two WHO NICs. According to these data as a result of 8752 patients investigation 210 (2.4%) respiratory samples were positive for influenza, including 62 cases of unsubtyped influenza A in 4 cities, 37 cases of influenza A(H1N1)pdm09 in 15 cities, 94 cases of influenza A(H3N2) in 26 cities and 17 cases of influenza B in 8 cities.
15 influenza viruses were isolated on MDCK cell culture, including: 3 influenza A(H1N1)pdm09 viruses in Saint-Petersburg and 10 cases of influenza A(H3N2) viruses in Vladivostok (6), Omsk (1), Saint-Petersburg (3) and 2 influenza B viruses in in Vladivostok (1), Saint-Petersburg (1). Since the beginning of the season 911 influenza viruses, including: 32 A(H1N1)pdm09 viruses, 874 A(H3N2) viruses and 5 influenza B viruses.Antigenic characterization. Since the beginning of the season 2025-2026 422 influenza have been antigenically characterized by the NICs in Saint-Petersburg and Moscow, including: 17 influenza A(H1N1)pdm09 viruses and 405 influenza A(H3N2) viruses. One virus A(H1N1)pdm09 was similar to the reference strain A/Victoria/4897/22 recommended in the vaccines for the Northern Hemisphere countries for the 2025-2026 season, 16 A(H1N1)pdm09 viruses were a drift variant. 6 influenza A(H3N2) viruses were similar to the reference strain A/Croatia/10136RV/23, also recommended in vaccines for countries in the Northern Hemisphere for the 2025-2026 season, 387 A(H3N2) viruses were a drift variant, 11 viruses A(H3N2) were similar to the reference strain A/Thailand/8/2022, 1 strain was a drift variant of the reference strain A/Thailand/8/2022.
Genetic characterization. Since the beginning of the season 2025-2026 sequenced 1713 influenza viruses in Saint-Petersburg. 1684 influenza A(H3N2) viruses were similar to the vaccine strain A/Croatia/10136RV/2023, of which 1630 viruses belong to clade 3C.2a1b.2a.2a.3a.1 subclade K, 56 viruses belong to clade 3C.2a1b.2a.2a.3a.1. 27 A(H1N1)pdm09 viruses were similar to the vaccine strain A/Victoria/4897/2022 and were classified as clade 6B.1A.5a.2a.1, one strain was related to the reference strain A/Sydney/5/2021 and assigned to clade 6B.1A.5a.2a. 1 strain B virus was similar to the vaccine strain B/Austria/1359417/2021 and was classified as clade V1A.3a.2.Susceptibility to antivirals. Since the beginning of the season 2025-2026, the sensitivity of 366 A(H3N2) influenza viruses to neuraminidase inhibitors (oseltamivir, zanamivir) were studied in NIC (Saint-Petersburg). All studied viruses were sensitive to neuraminidase inhibitors.
-
No data
-
No viruses detected
-
H1pdm09
-
H3
-
H3+H1pdm09
-
B
-
B+H1pdm09
-
B+H3
-
B+H3+H1pdm09
-
A (not subt.)
-
A (not subt.)+H1pdm09
-
A (not subt.)+H3
-
A (not subt.)+H3+H1pdm09
-
A (not subt.)+B
-
A (not subt.)+B+H1pdm09
-
A (not subt.)+B+H3
-
A (not subt.)+B+H3+H1pdm09
% positive
Weeks
-
H1pdm09
-
H3
-
B
-
A (not subt.)
-
% positive
Weeks
-
PIV
-
ADV
-
RSV
-
RhV
-
CoV
-
MPV
-
BoV
ARVI detections. The overall proportion of respiratory samples tested positive for other ARVI (PIV, ADV, RSV, RhV, CoV, MPV, BoV) was estimated 24.6% of investigated samples by PCR.
% positive
Weeks
-
H1pdm09
-
H3
-
B
-
% positive
Table 1. Results of influenza and other ARVI detection by RT-PCR in Russia, week 10 of 2026
| Number of specimens / number of positive cases | % positive | |
| Influenza | ||
| Number of specimens tested for influenza | 8752 | - |
| Influenza A (not subt.) | 62 | 0,7% |
| Influenza A(H1)pdm09 | 37 | 0,4% |
| Influenza A(H3) | 94 | 1,1% |
| Influenza B | 17 | 0,2% |
| All influenza | 210 | 2,4% |
| Other ARVI | ||
| Number of specimens tested for ARVI | 8690 | - |
| PIV | 147 | 1,7% |
| ADV | 99 | 1,1% |
| RSV | 558 | 6,4% |
| RhV | 437 | 5,0% |
| CoV | 432 | 5,0% |
| MPV | 401 | 4,6% |
| BoV | 67 | 0,8% |
| All ARVI | 2141 | 24,6% |
| SARS-CoV-2 (COVID-19) | ||
| Number of specimens tested for SARS-CoV-2 | 11406 | - |
| SARS-CoV-2 | 185 | 1,6% |
-
No data
-
less then 10%
-
10-20%
-
20-30%
-
30-40%
-
40-50%
-
50% and more
COVID-19. According to the data obtained by NIC in Saint-Petersburg totally 11406 clinical samples were PCR investigated in last week. Among them coronavirus SARS-CoV-2 was detected in 185 (1.6%) cases.
Table 2. Results of influenza viruses isolation in Russia, week 10 of 2026
| Number of specimens / number of viruses | % isolated viruses | |
| Number of specimens | 89 | - |
| Influenza A(H1)pdm09 | 1 | 1,1% |
| Influenza A(H3) | 7 | 7,9% |
| Influenza B | 1 | 1,1% |
| All influenza | 9 | 10,1% |
Sentinel influenza surveillance
Clinical samples from 16 SARI patient were investigated by rRT-PCR for influenza, among them no positive cases were recognized. Among 14 SARI samples no positive cases for coronavirus SARS-CoV-2 were recognized. Among 14 SARI samples 1 (7.1%) case positive for RSV infection.
Clinical samples from 14 ILI/ARI patient were investigated by rRT-PCR for influenza, among them no positive cases were recognized. Among 14 ILI/ARI samples 7 (50.0%) cases positive for ARVI were detected, including: 5 cases of RSV and 2 cases of RhV infection. Among 14 ILI/ARI samples no positive cases for coronavirus SARS-CoV-2 were recognized.
% positive
Weeks
-
H1pdm09
-
H3
-
B
-
A (not subt.)
-
% positive
% positive
Weeks
-
H1pdm09
-
H3
-
B
-
A (not subt.)
-
% positive
Weeks
-
PIV
-
ADV
-
RSV
-
RhV
-
CoV
-
MPV
-
BoV
Weeks
-
PIV
-
ADV
-
RSV
-
RhV
-
CoV
-
MPV
-
BoV
Influenza morbidity forecasting
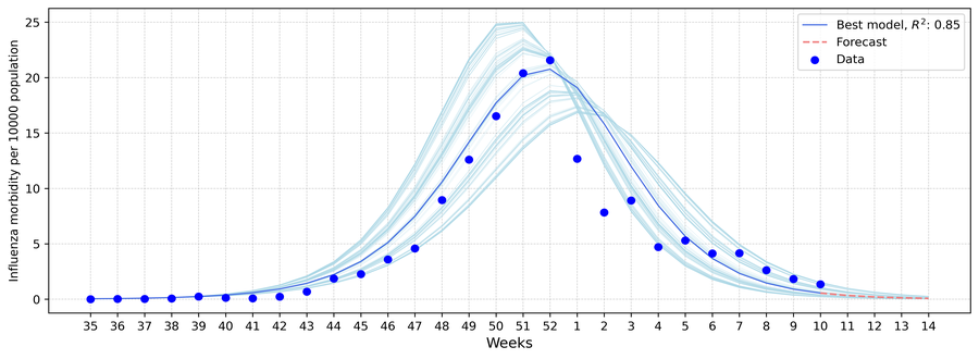
An influenza incidence forecast was performed. The forecast is based on the Baroyan–Rvachev model. Model calibration was carried out using data on registered influenza and acute respiratory infection (ARI) cases, as well as laboratory influenza diagnostics (PCR), from the beginning of the epidemic season (week 40) up to the week preceding the publication of the forecast. The data are presented with a one-calendar-week time step. Optimal parameters were identified using calibration algorithms, resulting in the construction of a model curve. The estimated parameters allow the model curve to be extended and a forecast to be generated for the next four weeks from the observation date (the week for which the bulletin is published).
Fig. 13. Results of influenza incidence modeling, season 2025/26.

In week 10 of 2026, a decrease in incidence was observed. The situation is expected to improve in the coming weeks.
